Our article “High-performance co-polyesters for material extrusion 3D printing: A molecular perspective of weld properties” has now been published in Additive Manufacturing. This work is in collaboration with the University of Genoa, Italy and Eastman France (S.a.r.l), a chemical manufacturing company.
High performance co-polyesters for material extrusion 3D printing: A molecular perspective of weld properties
Andrea Costanzo, Dario Cavallo and Claire McIlroy
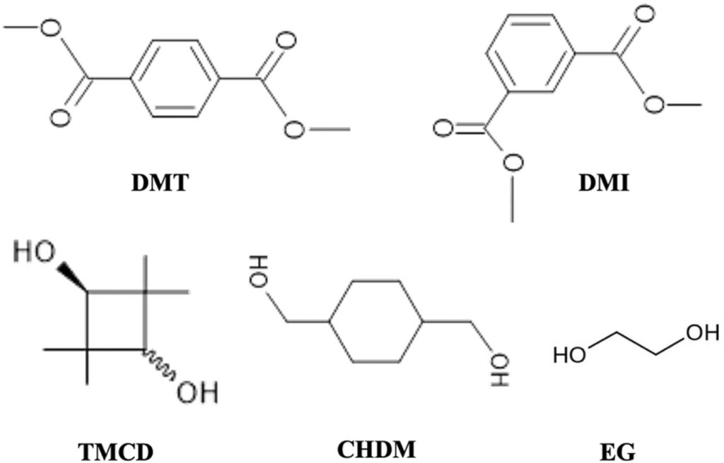
Abstract: Broadening the range of materials available to 3D print accurately and reliably via extrusion-based printing techniques is key to diversifying into advanced applications. One leading aim is to achieve higher temperature resistance from material-extrusion (MatEx) printed parts, whilst maintaining strength. To this end, several feedstock filaments based on polyester have recently been commercialised, with one feedstock possessing a new comonomer base unit that significantly increases the glass transition of the material. Whilst the improvement in bulk properties is known, for the first time we investigate how this change is chemistry may affect the inter-diffusive welding process inherent to achieving structural integrity in MatEx. Although this change in chemistry modifies the temperature-dependent rheological behaviour in ways that are expected to be detrimental to the weld strength, by employing an established continuum polymer modeling approach we propose that the polymer chain stiffness is fundamental to ensuring that residual molecular anisotropy in the weld region is limited. We report that the weld strength of this new material is similar to another co-polyester with lower glass transition temperature, despite demonstrating an increased diffusive time scale and reduced weld times under typical conditions.

Categories: Updates

